Research
Fundamental Electrochemistry
What is Electrochemistry?
Electrochemistry is the branch of chemistry which deals with the study of reactions which take place in aqueous solution, at the interface between a conducting electrode and the conducting electrolyte solution. Such reactions involve the transfer of electrons between the electrode and the species in solution. The study of electrochemical processes is relevant across a wide range of scientific fields including: surface science, biochemistry, analytical techniques, photochemistry, corrosion science, energy storage and nanotechnology.
The Electrochemical Cell
A 2 or 3 electrode arrangement can be adopted in the study or electrochemical reactions. In the majority of cases we are only interested in the reactions taking place at one of the electrodes (working electrode) in our electrochemical cell. Potential is measured against a reference electrode with a fixed potential however, the measurement of potential will always include an iR term due to voltage drop (R; solution resistance). A 2 electrode set up, consisting of a working and a reference electrode, can be used where iR is small. Where iR is high it may be necessary to use a 3 electrode arrangement, such that current is passed between the working electrode and the counter electrode and as no current is being passed through the reference electrode, a constant potential value will be maintained. Typical working electrode materials include metals (solid, liquid, amalgams), semiconductors and carbon, where charge is transferred by movement of electron / holes. In the electrolyte phase, the movement of ions (typically H+, Cl-, Na+ in water or non-aqueous solvent) is responsible for the transfer of charge.
Reference Electrodes
A range of reference electrodes are available for use in electrochemical studies. The standard hydrogen electrode (SHE) or normal hydrogen electrode (NHE) is generally accepted as the international standard, with the potential of alternative reference electrodes quoted vs. SHE / NHE. Other commonly used reference electrodes are saturated calomel electrode (SCE), silver / silver chloride (Ag/AgCl), mercury / mercurous sulphate (Hg/HgSO4) and mercury / mercury oxide (Hg/HgO).
Mass Transport (Diffusion / Migration)
Migration: In the bulk solution current is predominantly carried by the process of ion migration whereas, close to the electrode surface both migration and diffusion are responsible for mass transport. We are able to separate the contributions of both processes by the addition of excess supporting electrolyte which minimises the contribution from migration as well as lowering the solution resistance.
Diffusion: Fick's 1st Law (1) quantifies the diffusive flux at a point x, down a concentration gradient. According to Fick's Law, the flux is driven only by differences in concentration in the solution. In the case where the diffusing species is charged, the presence of electrical potentials can also have a significant effect. In the presence of significant supporting electrolyte can negate the effect of an electrical field at the electrode surface so that only diffusion is acting to bring material to the electrode surface.
(1)
Fick's 2nd Law (2) addresses how the concentration at point x, will vary with time, t.
(2)
Cylindrical coordinates can be applied to deal with a disc electrode while spherical co-ordinates can be applied in the case of spherical or hemispherical electrodes. The Cottrell equation (3) for planar diffusion to a macroelectrode is given as:
(3)
and describes Fick's 2nd Law in action if we consider an electrode in solution of and electroactive species. On application of a large potential (t = 0), the species is reduced or oxidised at a very fast rate (compared to diffusion), such that c at point x = 0 (electrode surface) is reduced to zero.
Butler-Volmer Kinetics
The most convenient forms of the Butler-Volmer expression are given as (4) and (5):
(4)
(5)
These equations can be applied to any electrode process of the form
where ZA and ZB are the charges associated with species A and B. The rate constants kc and ka describe the reduction and oxidation of the electroactive species, respectively. k0 represents the standard electrochemical rate constant (cm s-1) and is the formal potential of the A / B redox couple. The transfer coefficient of the process is given by α and β, such that α + β = 1. α + β may not always equal 1 for a one electron redox couple if the intermediate transition states in each direction are significantly different.
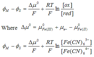
Nernst Equation
The position of a chemical equilibrium is controlled by the chemical potentials of the reactants and products so for an electrochemical equilibrium such as (6), the position of equilibrium represents a balance between chemical energies (as quantified by chemical potentials) and electrical energies. This is due to the transfer of a charged particle between the two phases (solution and electrode) which may have different electrical potentials and thus the electrical energy of the electrons may differ between the two phases.
(6)
The Nernst equation can be given for the general equilibrium as follows (7):
(7)
This is appropriate to a single electrode-solution interface, where ϕM and ϕS refer to the electrical potentials of the metal electrode and the solution, respectively. The Nernst equation can be used to determine the potential of a redox couple O / R as a function of the activities of these electroactive species.
Current Research
Fundamental aspects of electrochemistry are currently being studied by members of the Compton Group. One of the best examples is the research being done to investigate the importance of supporting electrolyte in voltammetric systems. Experiments have been carried out to investigate the effect of supporting electrolyte concentrations with respect to chronoamperometry and cyclic voltammetry. A theoretical model was subsequently applied to these systems to take into account the effects of electric fields in solution, which in weakly supported media, will have a significant effect on the mass transport of any charged species in solution, consequently altering the rate of electrode kinetics. In a fully supported system these electric fields would be negated by the excess supporting electrolyte.
